"Bir gram cebir, bir ton sözlü tartışmaya bedeldir." - John B.S Haldane

John B. S Haldane'den yaptığımız bu alıntı daha doğru olamazdı. Cebir konusunda insanlar büyük ölçüde fikir ayrılığına düşüyor: Bazıları cebri analiz etmeyi severken bazıları kelimenin tam anlamıyla nefret ediyor.

Bugünün makalesinde cebirsel bilgiyi her tür öğrenci için daha eğlenceli hâle getirmek için bazı temel cebir kurallarını, denklemleri, örnekleri ve tanımları inceleyeceğiz.

En iyi Matematik öğretmenleri müsait
Ahmet
5
5 (248 yorum)
Ahmet
₺1800
/saat
Gift icon
İlk ders ücretsiz!
Osman edi̇n
5
5 (21 yorum)
Osman edi̇n
₺1550
/saat
Gift icon
İlk ders ücretsiz!
Fatih
5
5 (56 yorum)
Fatih
₺1200
/saat
Gift icon
İlk ders ücretsiz!
Mustafa
5
5 (42 yorum)
Mustafa
₺1700
/saat
Gift icon
İlk ders ücretsiz!
Tuğba
5
5 (31 yorum)
Tuğba
₺1000
/saat
Gift icon
İlk ders ücretsiz!
Meli̇ha
5
5 (115 yorum)
Meli̇ha
₺2500
/saat
Gift icon
İlk ders ücretsiz!
Mustafa
5
5 (169 yorum)
Mustafa
₺1500
/saat
Gift icon
İlk ders ücretsiz!
Eren
5
5 (79 yorum)
Eren
₺1500
/saat
Gift icon
İlk ders ücretsiz!
Ahmet
5
5 (248 yorum)
Ahmet
₺1800
/saat
Gift icon
İlk ders ücretsiz!
Osman edi̇n
5
5 (21 yorum)
Osman edi̇n
₺1550
/saat
Gift icon
İlk ders ücretsiz!
Fatih
5
5 (56 yorum)
Fatih
₺1200
/saat
Gift icon
İlk ders ücretsiz!
Mustafa
5
5 (42 yorum)
Mustafa
₺1700
/saat
Gift icon
İlk ders ücretsiz!
Tuğba
5
5 (31 yorum)
Tuğba
₺1000
/saat
Gift icon
İlk ders ücretsiz!
Meli̇ha
5
5 (115 yorum)
Meli̇ha
₺2500
/saat
Gift icon
İlk ders ücretsiz!
Mustafa
5
5 (169 yorum)
Mustafa
₺1500
/saat
Gift icon
İlk ders ücretsiz!
Eren
5
5 (79 yorum)
Eren
₺1500
/saat
Gift icon
İlk ders ücretsiz!
Başlayın

Cebrin Temel Kuralları

Kurallar ve kısıtlamalar olmadan toplum etkin bir şekilde var olamaz. Sınırlarımızı bilmek için ne yapmamız gerektiğinin bize söylenmesi gerekir. Bu nedenle günümüz toplumunda yaygın olarak kullanılan kavram ve disiplinlerin doğru işleyebilmeleri ve insanlar tarafından doğru bir şekilde anlaşılabilmeleri için düzenlemeler yapılması gerekir.

Açık yeşil alanda golf yapan adam
Spordan yaptığımız alışverişlere kadar cebrin etkisi her yerde! | Kaynak: Unsplash

Hayatta her şeyin bir kuralı olduğunu unutmayalım. Yakıt tüketimini hesaplamaktan bir garsonun saatte kaç kez gidip geldiğini belirlemeye kadar cebir sürekli olarak kullanılmaktadır. 

Bu nedenle daha fazla gecikmeden aritmetik, üsler ve radikaller için bazı cebir kurallarını inceleyelim.

Aritmetik ile İlişkili Cebir Kuralları

Çarpmanın Dağılma Özelliği

Çarpmanın dağılma özelliği, bir şeyi iki veya daha fazla terimin toplamı ile çarptığınızda kullanılır. Çarpma işlemi, denklemle bağlantılı farklı terimlerin her birine dağıtılabilir. Dağılma özelliğine şöyle örnek verelim:

y(x + y) = xy + xz

Gerekli işlem sırası geliştirildikten sonra çözüm bulunabilir.

Kesirlerde Toplama, Çıkarma, Bölme ve Çarpma Kuralları

Aritmetik için cebir kuralları, kesirleri içeren denklemler söz konusu olduğunda biraz değişiyor.

Örneğin bir kesri çarpacak olduğunuzda sadece payı çarparsınız. Böylece doğru sonucu alırsınız.

Aşağıdaki örnek, kesirleri çarpmaya çalışırken görsellerle daha iyi anlayanlara yardımcı olabilir:

6 (1/3) = ab/c

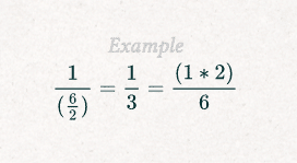
Bir kesri bölmek, çarpma ile ilgili az önce bahsettiğimiz kuralla çok yakından bağlantılıdır. Bir kesrin paydasını bölmek, payını çarpmakla aynı etkiye sahip olur. Daha iyi anlamak için aşağıda bir örnek verelim:

Cebirde kesirlerde bölme kurallarına mükemmel bir örnek. | Kaynak: Algebrarules.com

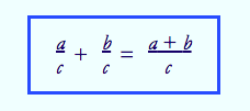
Kesirlerde toplama ve çıkarma kuralları aynıdır: Paydalar aynı olmalıdır; tıpkı aritmetikte olduğu gibi. Paylar eklenmeli ve toplamları ortak payda üzerine yerleştirilmelidir. Aşağıda cebirde kesirleri toplamanın veya çıkarmanın temellerini anlamak için harika bir örnek verelim:

Kesirlerde toplama ve çıkarma kuralları aynı kalır; sadece semboller değişir. | Kaynak: theathpage.com

Aritmetikle ilgili analiz edilebilecek daha çok cebir kuralı var. Burada bahsettiklerimiz daha en baştan hâkim olunması gerekenlerden sadece birkaçı.

Superprof'taki bir özel matematik öğretmeni ile bu gibi konuların yanında lineer cebir lineer denklem sistemleri gibi daha detaylı konularda da bilgi sahibi olabilirsiniz.

Üslerde Cebir Kuralları

Bu makaleyi okuyorsanız ve üslerin ne olduğunu unuttuysanız hemen hafızanızı tazeleyelim. Üsler, bir sayının veya ifadenin yükseltileceği gücü temsil eden, genellikle cebirde adın veya ifadenin sağ üstünde yüksekte duran bir sembol olarak ifade edilen bir niceliktir.

Cebirde diğer her şey için kurallar olduğu gibi üslerle ilgili de belli başlı kurallar vardır:

  • Sıfır Üs Kuralı: Örneğin, 0 = 1, sıfır üslü herhangi bir işlemin sonucunun 1 olduğu anlamına gelir.
  • Üsler Kuralı: Bir üsü başka bir üse yükseltmek için üsleri çarpmanız gerektiğini belirtelim.
  • Çarpım Kuralı: Aynı tabana sahip iki kuvvetin çarpımı, iki üssün toplamına yükseltilmiş tabana eşittir. Bu kural, üsler çarpım şeklinde yazılarak etkin bir şekilde kullanılabilir. Bu da denklemin daha doğru görünmesini sağlar.

Bu kurallar kafanızı karıştırdıysa hemen Superprof'ta bir matematik öğretmeni bulun!

Kitapta bir şey işaret eden küçük çocuk
Yanında iyi bir rebher olan her çocuk çok daha iyi öğrenir. | Kaynak: Unsplash

Radikaller için Cebir Kuralları

Cebir dünyasında radikal ifadeler çok önemlidir ve kökle ifade edildikleri için üslü ifadelerin zıt kutupları olarak görülebilir.

Cebirde radikallerle ilgili başlıca kural şudur:

Radikaller ve üsler çok farklı şeyler olsa da uygulamaları birbiriyle yakından alakalıdır. Bu ifadede bir sayının kökü, bir bölü n üslü sayı ile aynıdır. | Kaynak: Algebrarules.com

Yukarıda resmedilen cebirsel ifade, a m  ∙ a n  = a m + n'nin şeklinde üs kuralına uyar.

Radikaller hakkında öğrenebileceğiniz başka birçok tanım, kelime ve kural var. Bu konuda kendinizi geliştirmek istiyorsanız bir matematik özel ders öğretmeninden yardım alarak derslerinizden en yüksek verimi alabilirsiniz!

Basit Cebirsel Denklemler

Ders kitaplarında veya sınavlarda bulunabilecek bazı basit cebir denklemlerine geçmeden önce denklem kelimesini tanımlayalım. Birçok kaynağa göre denklem, bir işaretin her iki tarafın aralarındaki ilişkiyi gösterdiği iki ifade olarak anlaşılabilir. Bir denklemdeki işaret eşittir, küçüktür, büyüktür veya her ikisi de olabilir.

Çoğu kişi denklemlerden bahsederken cebirsel denklemlerden bahseder; Bunlar harf ve sayılar içeren denklemlerdir. 

Cebirsel denklemler nasıl çözülür?

Cebirsel denklemler, harflerin hangi sayıları temsil ettiğini bularak çözülür.

Aşağıda 1 + 1 = 2 ve 2 + 5 > 2 + 4 basit denklemlerinin, sayılardan birinin yerine x koyarak cebirsel denklemlere dönüştürülebileceğinin basit bir örneğini verdik:

1 + 1 = x ve x + 5 > x + 4

Yani bazı sayıları x ile değiştirdikten sonra, x'in değerinin 2 olduğunu kolayca anlayabiliriz. x harfi, herhangi bir şekilde cebirsel ifadeler oluşturmak için kullanılabilir. Ayrıca y harfi de denklemlerin bilinmeyen öğelerini temsil etmek için kullanılır.

Herhangi bir denklemde farklı şeyleri temsil eden terimler ve ifadeler vardır. Örneğin bir terim harfler ve rakamlar içeriyorsa harfler değişkenler olarak bilinir, sayılar ise katsayılardır. Ayrıca denklemlerin bir başka kuralı da şöyle: Eğer kelimeler tam olarak aynı değişkene sahiplerse benzer terimler olarak bilinirler ve basit sayılarmış gibi toplanabilir, çıkarılabilir, bölünebilir ve çarpılabilirler.

Bazı durumlarda bir cebirsel denklemi doğru bir şekilde çözmek için ifadenin yeniden düzenlenmesi ve x'in yalnız bırakılması gerekir. Denklemleri yeniden düzenlemek için önce basit denklem kurallarına göz atmanızı öneriyoruz.

Ahşap masanın üstünde İngiliz anahtarı çekiç
Cebirde de elinizdeki araçların ne olduğunu bilmeden doğru bir şekilde ilerleyemezsiniz. | Kaynak: Unsplash

Denklemlerle ilgili az önce bahsettiklerimizi iyice anlayan öğrenciler geç olmadan kafa karışıklığını önler ve cebrin temellerini en baştan doğru bir şekilde anlarlar.

Tüm Öğrenciler için Temel Cebir Örnekleri

Cebir, birçok kişinin zorlandığı ve karmaşık bulduğu akademik bir disiplin olduğundan farklı yönleriyle ilgili adım adım açıklamalar, örnekler, video dersleri, oyunlar ve podcast yayınları sunan birçok online kaynak mevcut.

Okul saatlerinden sonra çalışabileceğiniz yeni örnekler bulmak için 5-10 dakikalık videolar izlemek (Görsellerle daha iyi öğrenenler için mükemmel bir yöntem!), testler çözmek ve temel kavramları özümsemek için online siteleri ziyaret etmenizi şiddetle tavsiye ediyoruz.

İnternetteki sınırsız kaynaklarla cebrin hangi kısmında zorlanıyor olursanız olun size yardımcı olacak bir şeyler mutlaka bulacaksınız. Konu anlatımları ve örnekler için Khan Academy'i özellikle öneriyoruz.

Binlerce ücretsiz web sitesiyle lineer cebir denklem sistemleri çözümü, iki bilinmeyenli denklemler, cebir çıkmış sorular gibi birçok farklı konuda ücretsiz yardım alabilirsiniz.

Bir cebir öğretmeniyle temel cebir kavramlarını hızlı bir şekilde kavrayabilirsiniz.

Cebir Tanımları

Bu makaleyi okurken anlamadığınız bazı ifadeler, terimler veya kelimeler olduysa hiç endişelenmeyin, yalnız değilsiniz. Hepimiz profesyonel matematikçi değiliz ve dürüst olmak gerekirse bu makaleyi yazmadan önce hafızamı tazelemek için benim de bazı ifadeleri araştırmam gerekti.

Sizin için özel cebir terimlerini şöyle özetleyelim:

  • Radikaller: Radikal kelimesinin birçok tanımı olmasına rağmen matematikte bir sayının kökünü ifade eden bir nicelik anlamına gelir.
  • Aritmetik: Yunanca aritmos yani "sayı" kelimesinden türeyen aritmetik; sayıları, özellikle toplama, çıkarma, çarpma ve bölme özelliklerini inceleyen bir matematik dalıdır.
  • Pay: Ortak bir kesirde çizginin üstündeki sayıdır. Mesela 2/6 ifadesinde 2 pay, 6 paydadır.
  • Payda: Ortak bir kesirde çizginin altında kalan sayı; bölen.

Değişkenler gibi diğer cebir temelli kelimeleri Superprof'un diğer makalelerinde bulabilirsiniz. Veya bir özel ders öğretmeniyle lineer cebir denklem sistemlerive hatta lineer cebir homojen denklem sistemleri hakkında daha çok şey öğrenebilirsiniz!

Bu tarz kaynaklarla cebrin kuralları, denklemleri ve örnekleri hakkında daha fazla bilgi edinmek; daha orta okulda eğitim almaya başlamadan matematikte gelişmek isteyenler veya bilgilerini tazelemek isteyen yetişkinler için harika bir yoldur.

Yapay zekâ ile özetle

Makaleyi beğendiniz mi? Puanlayın!

4,00 (4 puanlama)
Loading...

Seda Tiğrek

Spor yapmayı, film izlemeyi seven; farklı bir kültürü keşfederken ilk yemeklerini deneyen bir çevirmenim.